Корректен ли опыт Майкельсона?
Корректен ли опыт Майкельсона?
http://novodereshkin.spb.ru/mmexp.htm
| УДК 53.082.5 |
| Опубликовано 5 апреля 2005 г. |
|
Принято считать, что практически
нулевой результат, полученный в 1887 г. А. Майкельсоном и Э. Морли
при измерениях скорости движения Земли сквозь неподвижный
светоносный "эфир", заполняющий по всеобщему мнению физиков конца
XIX века мировое пространство, явился, в первую очередь,
убедительным доказательством отсутствия "эфира" в пространстве.
Впоследствии это стало одной из главных причин создания и признания
специальной теории относительности (СТО), 100-летний юбилей которой
приходится на 2005 г. Результаты эксперимента, проведенного А.
Майкельсоном и Э. Морли (опыт Майкельсона – Морли), были многократно
проверены и уточнены, и в настоящее время сомнений ни у кого не
вызывают.
Автор настоящей статьи поставил задачу
попытаться ответить на следующие вопросы: а действительно ли можно
было с помощью такого измерительного эксперимента, задуманного Дж.
К. Максвеллом, определить скорость движения Земли сквозь неподвижный
светоносный "эфир"? Не остались ли неучтенными какие-либо факторы,
которые бы могли радикально повлиять на итоговый нулевой результат
опыта? Для получения ответа на эти вопросы автор предлагает читателю
перенестись мысленно в конец XIX века и заново провести анализ самой
идеи опыта Майкельсона – Морли, основываясь на физических
представлениях о строении окружающего мира, существовавших в науке
до появления СТО.
Обратимся к схеме опыта Майкельсона –
Морли, приведенной на рис. 1 (данный рисунок
и описание опыта, во многом, заимствованы из [1]). |
![]() |
|
Рис. 1 |
|
Автор напоминает читателю, что идея
опыта заключалась в измерении скорости движения интерферометра V,
"связанного" с Землей, по отношению к постоянной скорости движения
волн света С в "эфире", неподвижном в пространстве. При этом
предполагалось, что пространство и время абсолютны, то есть их
интервалы одинаковы как в неподвижной системе отсчета, связанной с
"эфиром", так и в любых движущихся системах отсчета, в том числе и в
системе отсчета, связанной с движущейся Землей.
На рис. 1
интерферометр изображен движущимся вместе с Землей "вправо" со
скоростью V относительно "эфира", а читатель, разглядывающий
рисунок, соответственно, должен представлять себя неподвижным
относительно "эфира". Поскольку реально эксперимент проводится в
движущейся системе отсчета, связанной с интерферометром и Землей, в
дальнейшем будет удобнее представить себе интерферометр неподвижным,
а "эфир" – смещающимся относительно него "влево". Сначала необходимо
определить значения скорости света, движущегося "влево – вправо"
относительно интерферометра, а затем вычислить интервалы времени
Скорость света, движущегося "вправо",
|
|
Интервал времени |
![]() |
|
Скорость света, отраженного зеркалом Е
и движущегося "влево" |
|
Интервал времени |
![]() |
|
Суммарный интервал времени движения
света "вправо – влево": |
![]() |
|
Перейдем к определению значения
скорости света, движущегося "вверх – вниз" относительно
интерферометра. Необходимо отметить, что рис. 1, по мнению автора, не точно изображает процесс
распространения света, движущегося "вверх – вниз" относительно
интерферометра. Для наблюдателя, находящегося в движущейся системе
отсчета, связанной с интерферометром и Землей, луч света должен
отставать вместе с "эфиром" "влево" от движущегося интерферометра,
хотя при этом каждая из волн, составляющих общий луч, сохраняет
направления движения "вверх" или "вниз", заданные полупрозрачным
наклонным зеркалом А и зеркалом В, как это показано на рис. 2 (а и б) где интерферометр
изображен неподвижным, а "эфир" вместе с движущимися в нем лучами
света – смещающимся "влево". |
![]() |
|
Этот факт подтверждается на практике
известным в астрономии явлением аберрационного смещения звезды,
наблюдаемой с Земли в телескоп [2], обусловленным
собственным движением телескопа вместе с Землей со скоростью V
относительно луча света, движущегося от объектива до окуляра
телескопа. При этом луч света, идущий от объектива к окуляру
телескопа, отклоняется в сторону, противоположную направлению
движения Земли, в результате чего изображение звезды смещается с
перекрестия нитей окуляра.
Воспользуемся рис. 2 (а и б) для определения
скорости света, движущегося "вверх – вниз" относительно
интерферометра. В правой части рис. 2а изображен треугольник скоростей
ав'а', из которого видно, что модуль вектора скорости света
|
|
При этом длина пути, проходимого
светом "вверх" АВ' (рис. 2а) или
"вниз" А'В' со скоростью |
|
Необходимо отметить, что полный путь,
проходимый светом "вниз" до экрана (рис. 2а), складывается из А'В' + А'D'. Однако
из рис. 2б видно, что путь света
"вниз" от наклонного полупрозрачного зеркала также составляет А'D',
поэтому эту общую составляющую пути света "вниз" можно исключить из
рассмотрения.
Интервал времени движения света
"вверх" |
![]() |
|
При этом обратный путь "вниз" А'В'
равен пути "вверх" АВ' (рис. 2а), и
свет проходит его за интервал времени
Так оценил время движения света "вверх
– вниз" при проведении своего первого опыта А. Майкельсон, однако
позже его поправил Г. Лоренц, по мнению которого луч света,
отраженный от наклонного полупрозрачного зеркала, не должен был
распространяться вертикально "вверх", отставая от движущегося
интерферометра, а наоборот, должен был отклоняться "вправо" от
вертикального направления, как показано на рис. 1 (пунктирные линии АВ' и В'А'), сохраняя при этом
значение скорости С относительно интерферометра. Суммарное время
прохождения светом пути "вверх – вниз" при этом должно было
составлять [1]: |
![]() |
|
Анализ процесса отражения света от
наклонного зеркала, движущегося относительно "эфира" со скоростью V,
приведенный, по-видимому, впервые в [3], основывается
приблизительно на следующих рассуждениях.
Если фронт плоской световой волны
аа |
![]() |
|
Рис. 3 |
|
Отраженный луч при этом отклоняется от вертикали в направлении
движения на угол
По мнению автора, подобные "повороты"
зеркала в действительности не имеют места. В неправомерности
приведенных выше рассуждений можно убедиться, еще раз представив
себе интерферометр неподвижным, а "эфир" вместе с движущимся в нем
со скоростью С лучами света – смещающимся "влево". Тогда скорость
луча света, падающего на наклонное зеркало ав, определяется
формулой (1). При этом наклон зеркала при его
движении не меняется, а луч света одновременно освещает всю поверхность зеркала
ав и одновременно отражается
от нее вертикально "вверх", продолжая движение со скоростью С
относительно "эфира". Единственным реальным эффектом от движения
"эфира" "влево" является изменение частоты света
Идея эксперимента заключалась в том,
что если интервал времени движения света "влево – вправо"
Однако неравенство между собой
временных интервалов отнюдь не означает неравенства "набегов" фаз
колебаний (разности фаз), определяющего смещение интерференционной
картины, наблюдаемой в ходе проведения опыта. Текущая фаза
гармонического колебания определяется выражением: |
|
а ее "набег" за интервал времени
Из точки А (рис. 1) полупрозрачного наклонного зеркала в
направлениях "вправо" и "вверх" расходятся два синфазных
цуга световых волн со скоростью С
и с частотой
Фазу световых волн, расходящихся из
точки А (рис. 1) полупрозрачного наклонного
зеркала в направлениях "вправо" и "вверх", примем равной нулю |
![]() |
|
Из формулы (11)
видно, что "набег" фазы при движении света "вверх – вниз" не зависит
ни от интервалов времени
При движении зеркала Е "вправо"
скорость света относительно интерферометра определяется формулой
(1), поэтому частоту световых волн, падающих
на зеркало Е, можно определить по формуле: |
![]() |
|
Фазу световых волн, падающих на
зеркало Е, "набежавшую" за интервал времени движения света "вправо"
|
![]() |
|
При движении полупрозрачного
наклонного зеркала А "вправо" скорость света, отраженного зеркалом
Е, относительно интерферометра определяется формулой (3), поэтому частоту световых волн, падающих на
зеркало А, можно определить по формуле: |
![]() |
|
Фазу световых волн, падающих на
зеркало А, "набежавшую" за интервал времени движения света "влево"
|
![]() |
|
Суммарную фазу световой волны,
"набежавшую" за интервал времени движения света "вправо – влево",
можно определить по формуле |
![]() |
|
Из формулы (16)
видно, что "набег" фазы при движении света "вправо – влево" также не
зависит ни от интервала времени, ни от скорости движения
интерферометра относительно "эфира". Таким образом, несмотря на
неодинаковость интервалов времени движения света "вверх – вниз" и
"влево – вправо", "набеги" фаз
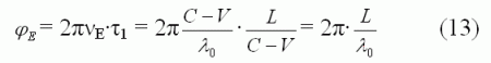
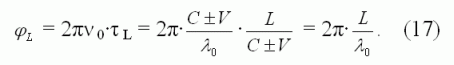
Здесь необходимо сделать небольшое
отступление. Формулы (13) и (15) можно обобщить формулой |
![]() |
|
Вопреки устоявшемуся на сегодняшний
день мнению о том, что исключительно высокая точность современных
интерференционных методов измерений длины материальных объектов в
длинах световых волн является прямым следствием и подтверждением
постулата СТО о постоянстве скорости света во всех инерциальных
системах, независимость "набега" фазы световой волны при измерениях
длины движущегося сквозь "эфир" материального объекта от его
скорости V, иллюстрируемая формулой (17),
могла бы в равной степени служить объяснением данного факта.
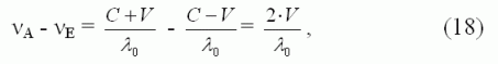
Можно ли все-таки измерить скорость
движения Земли сквозь светоносный "эфир" или следует оставить эти
попытки [4]? По крайней
мере, можно констатировать, что способ измерений должен быть основан
не на измерениях разности фаз. Если бы, например, удалось измерить
частоты |
![]() |
|
скорость движения Земли сквозь светоносный "эфир" можно было бы
определить по формуле |
![]() |
|
В заключение автор считает необходимым
процитировать высказывание Макса Планка относительно результата
опыта Майкельсона – Морли [5]: "В этом опыте
все обстоятельства настолько просты, а метод измерения настолько
чувствителен, что влияние движения Земли должно было проявиться с
полной отчетливостью. Но ожидавшийся эффект вовсе не получился". Из
этого высказывания понятно, что именно кажущаяся простота опыта
явилась причиной неверной оценки его результата.
Проведенный здесь анализ идеи опыта
Майкельсона – Морли по измерению скорости движения Земли сквозь
светоносный "эфир" позволил объяснить нулевой результат опыта на
основе физических представлений конца XIX века, существовавших до
создания СТО. По мнению автора, логично сделать вывод о том, что
вопреки давно сложившемуся суждению, нулевой результат опыта
Майкельсона – Морли не доказал факт отсутствия "эфира" в мировом
пространстве. |
|
1. Р. Фейнман, Р. Лейтон, М. Сэндс "Фейнмановские
лекции по физике", т. 1, 2, изд. "Мир", Москва, 1977 г.
2. П. И. Бакулин, Э. В. Кононович, В. И. Мороз
"Курс общей астрономии", изд. "Наука", Москва, 1974 г.
|
На scientific.ru был разбор полетов автора этой статьи:
Vallav:
Ошибки есть. Автор рассматривает задачу в ИСО интерферрометра. Скорость эфира равна V. Преобразования координат Галилея. Неправильно вычисляет скорость света перпендикулярную потоку эфира. Она не равна C. А равна C*sqrt(1-(V/C)2). Откуда то в горизонтальном луче возникают изменения частоты. Откуда - непонятно.
albinos:
: Автор рассматривает задачу в ИСО интерферрометра.
В силу эквивалентности ИСО, введенную еще Галилеем это нормально.
: Неправильно вычисляет скорость света перпендикулярную : потоку эфира. Она не равна C. А равна C*sqrt(1-(V/C)2).
Он на сколько я понимаю считает скорость С а свет распространяется по гипотенузе треугольника, получается что свет приближается к зеркалу со скоростью C*sqrt(1-(V/C)2), как вы и написали.
: Откуда то в горизонтальном луче возникают изменения частоты. Откуда - непонятно.
На сколько я понял - Доплер
Vallav:
В этой ИСО? Зеркала неподвижны. Откуда треугольник? Посмотрите внимательно. У него для вертикального луча задежка 2L/C.
: : Откуда то в горизонтальном луче возникают изменения частоты. Откуда - непонятно. : На сколько я понял - Доплер
При неподвижных источнике и приемнике?
albinos:
: Зеркала неподвижны. Откуда треугольник?
Эфир движенся и "сносит" свет, вот и треугольник.
: При неподвижных источнике и приемнике?
Среда распространения света движется.
albinos:
: : Зеркала неподвижны. Откуда треугольник?
Эфир движенся и "сносит" свет, вот и треугольник.
: Посмотрите внимательно. У него для вертикального луча задежка 2L/C.
А, понял о чем автор. Свет относительно эфира движется со скоростью С, а для нас это будет sqrt(C2+V2) - треугольник скоростей.
: : : : Откуда то в горизонтальном луче возникают изменения частоты. Откуда - непонятно.
: : : На сколько я понял - Доплер
: : При неподвижных источнике и приемнике?
Среда распространения света движется.
Вроде понял. автор неправильно учел Доплера. Поэтому и ошибки.
Vallav:
: Вроде понял. автор неправильно учел Доплера. Поэтому и ошибки.
Какой Доплер при неподвижных источнике и приемнике? Скорее это у него - замедление времени из за движения эфира. Причем замедление - зависящее от направления.
И треугольника никакого нет. А вот скорость света поперек потока эфира у Вас неправильная. Не sqrt(C2+V2) а sqrt(C2-V2). У автора же равна C.

















