Косинов Н.В.
E-mail: kosinov1@mail.ru
E-mail: kosinov@unitron.com.ua
Аннотация
Эксперименты по беспроводной передаче электроэнергии начались белее 100 лет назад с опытов Н.Тесла. В статье приведены результаты исследования способов однопроводной и беспроводной передачи энергии. Предложена новая схема однопроводной и беспроводной передачи энергии. Описаны примеры беспроводной передачи энергии на электродвигатель, который не связан проводниками с источником энергии. Приведен пример свечения лампы накаливания 220В, 25Вт в разорванной однопроводной линии, связанной узлом по изоляции. Приведены эксперименты, демонстрирующие свечение ламп накаливания 220 В, 25 Вт в руке экспериментатора. Эксперименты показывают, что революционные идеи Н.Тесла по беспроводной передаче энергии по-прежнему актуальны и имеют реальные перспективы.
Эксперименты по однопроводной и беспроводной передаче электроэнергии начались белее 100 лет назад с опытов Н.Тесла. Спустя много лет интерес к этой проблеме возник опять, особенно после того, как С.В.Авраменко продемонстрировал передачу переменного тока по одному проводу в Московском научно-исследовательском электротехническом институте [1].

Рис.1. Схема Авраменко С.В. [1].
Основу устройства для однопроводной передачи энергии составляет "вилка Авраменко", которая представляет собой два последовательно включенных полупроводниковых диода, к средней точке которых подключена однопроводная линия (рис.1) [1 - 4].
Реальность однопроводной передачи энергии вызвало у автора желание экспериментально проверить возможность беспроводной передачи энергии – основной задачи, которую успешно решил Н.Тесла, но которая до сих пор не повторена в экспериментах.
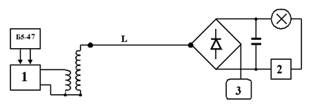
Для проверки идей Н.Тесла и их реализации автором настоящей статьи были проведены эксперименты по передаче электроэнергии по одному проводу и беспроводная передача энергии. Для этой цели разработана специальная схема однопроводной и беспроводной передачи энергии. В нашей схеме не использовалась "вилка Авраменко". Вместо "вилки Авраменко" использовалась обычная мостовая схема. В проведенных экспериментах выяснилось, что мостовая схема оказалась значительно эффективней, чем "вилка Авраменко". Кроме этого, были внесены и другие усовершенствования в схему Авраменко. Новая схема приведена на рис.2. В состав передающего узла входят трансформатор и генератор, подключенный к источнику питания Б5-47. Схема приемного узла показана на рис.2 справа от трансформатора.

Рис.2. Однопроводная передача энергии по схеме Косинова Н.В..
На схеме, изображенной на рис.2, обозначены: 1 - генератор, 2 - расширитель спектра, 3 - "антенна", L – линия передачи. Общий вид устройства показан на рис.3. Свечение лампы накаливания 220В, 25Вт в однопроводной линии передачи, реализованной по новой схеме, можно видеть на фото рис.3.

Рис. 3. Общий вид устройства для демонстрации однопроводной передачи энергии по новой схеме.
Энергией устройство обеспечивает источник питания постоянного тока Б5-47, позволяющий получать напряжение 0 - 30В. Нагрузкой служит лампа накаливания 220В, 25Вт. Генератор и трансформатор размещены в корпусе из диэлектрика. Диоды, конденсатор, лампа, элементы 2 и 3, составляющие приемник энергии, размещены в бело-голубом пластмассовом корпусе под лампой (рис.3). Приемный узел соединен с трансформатором одним проводом.
Яркость свечения лампы зависит от мощности генератора. При повышенном напряжении на выходе источника питания Б5-47 в пределах 16 – 18 вольт лампа 220В, 25Вт горит почти полным накалом (рис.4).

Рис. 4. Свечение лампы 220В, 25Вт в однопроводной линии передачи при повышенном напряжении от источника Б5-47.
Ключевыми моментами в повышении эффективности нашей схемы, по сравнению со схемой Авраменко, является использование стандартной мостовой схемы, а не ее половины, а также наличие расширителя спектра. Наличие в схеме расширителя спектра приводит к тому, что нагрузка, не препятствует полному заряду конденсатора. В новой схеме имеется два самостоятельных контура, спектры частот в которых различные. В первом контуре узкополосный спектр частот, во втором - широкополосный. Первый контур разомкнут. В нем цепь условно замкнута на приемник через антенну 3 (рис.2). Второй контур образован конденсатором, расширителем спектра и лампой накаливания.
Включение в линию передачи резистора или использование в качестве линии передачи проводника с большим удельным сопротивлением существенно не влияет на степень накала спирали лампы. Таким образом, сопротивление линии передачи сказывается весьма незначительно. Лампочка светится даже при "оборванной" линии передачи. Это наиболее наглядно демонстрирует фото на рис.5.

Рис. 5. Свечение лампы 220В, 25Вт в разорванной однопроводной линии, связанной узлом по изоляции.
Свечение лампы в разорванной линии передачи, связанной узлом по изоляции, указывает на то, что возможна передача энерги не только по одному проводу, но и беспроводная передача энергии, на что указывал и что демонстрировал в своих экспериментах Н.Тесла. Ниже приведены эксперименты, подтверждающие реальность беспроводной передачи энергии.
В экспериментах исследовалась возможность передачи энергии без проводов на электродвигатель. В экспериментах передающим устройством служил комплекс, состоящий из блока питания Б5-47, генератора и трансформатора. В качестве приемника выступал специальный приемный узел для беспроводной передачи энергии, содержащий электронный узел и электродвигатель постоянного тока ИДР-6 (рис.8). На рис.6 показан общий вид устройства для демонстрации беспроводной передачи энергии. В экспериментах наблюдалось вращение электродвигателя, не подключенного к линии передачи.

Рис. 6. Общий вид устройства для демонстрации беспроводной передачи энергии.
Электродвигатель установлен на электропроводящей платформе, которая, в свою очередь, установлена на корпусе из изоляционного материала (рис.7).

Рис. 7. Приемник с электродвигателем для демонстрации беспроводной передачи энергии.
Внутри корпуса находится электронный узел. Электронный узел занимает незначительный объем приемника и выполнен на печатной плате. Внутренняя часть приемника для беспроводной передачи энергии показана на рис.8.

Рис. 8. Внутренняя часть приемника для демонстрации беспроводной передачи энергии на электродвигатель.
При включении передающего устройства наблюдалось вращение электродвигателя в руках экспериментатора. При этом ни электродвигатель, ни платформа не подключались к передающему устройству. В корпусе, на котором расположена платформа с двигателем, отсутствовали источники питания. Наблюдалось увеличение скорости вращения электродвигателя с уменьшением расстояния между приемником и передающим устройством. На рис.9 показана фотография эксперимента, когда частота вращения электродвигателя увеличивалась, если электродвигатель находился в руках двух человек.

Рис. 9. Вращение электродвигателя в руках двух человек.
В описанных выше экспериментах по передаче энергии горят как исправные лампы, так и перегоревшие. Ниже приведены результаты экспериментов с перегоревшими лампами накаливания. На рис.10 виден разрыв спирали в лампе накаливания. Эта фотография сделана при выключенном устройстве.

Рис. 10. Перегоревшая лампа 220В, 60 Вт перед началом эксперимента.
На рис.11 представлена фотография, сделанная при проведении эксперимента. Видна раскаленная спираль и яркое свечение в месте разрыва спирали. Включение в линию передачи резистора или использование в качестве линии передачи проводника с большим удельным сопротивлением существенно не уменьшало степени накала спирали лампы. Степень накала спирали лампы в значительной мере зависит от длины зазора в месте разрыва спирали. При проведении экспериментов выявлено, что существует оптимальная длина перегоревшего участка, при котором накал оставшейся нити накаливания максимален.

Рис. 11. Свечение перегоревшей лампы накаливания 220В, 60 Вт.
Со свечением перегоревших ламп накаливания, не подозревая того, сталкивается практически каждый из нас. Для этого достаточно внимательно присмотреться к перегоревшим электрическим лампам. Довольно часто можно заметить, что внутренняя цепь лампы накаливания перегорает не в одном месте, а в нескольких местах. Понятно, что вероятность одновременного перегорания нити лампы в нескольких местах очень мала. Это значит, что лампа, утратив целостность спирали, продолжала светить, пока цепь не разорвалась еще в одном месте. Этот феномен возникает в большинстве случаев при перегорании ламп накаливания, включенных в сеть 220В, 50Гц.
Был проведен эксперимент, в котором подключались стандартные лампы накаливания 220В, 60Вт к вторичной обмотке повышающего трансформатора. На холостом ходу трансформатор имел на вторичной обмотке напряжение около 300В. В эксперименте было использовано 20 ламп накаливания. Оказалось, что чаще всего лампы накаливания перегорали в двух и более местах, причем перегорала не только спираль, но и токоподводящие проводники внутри лампы. При этом после первого разрыва цепи лампы продолжали некоторое время светить даже более ярко, чем до перегорания. Лампа светилась до тех пор, пока не перегорал другой участок цепи. Внутренняя цепь одной лампы в нашем эксперименте перегорела в четырех местах! При этом спираль перегорела в двух местах и, кроме спирали, перегорели оба подводящих электрода внутри лампы. Лампа погасла только после перегорания четвертого участка цепи – электрода, на котором закреплена спираль. Результаты эксперимента приведены в таблице 1.
Таблица 1.
Кол-во ламп, использованных в эксперименте |
Кол-во ламп с одним перегоревшим участком |
Кол-во ламп с двумя перегоревшими участками |
Кол-во ламп с тремя перегоревшими участками |
Кол-во ламп с черырьмя перегоревшими участками |
Кол-во ламп с пятью перегоревшими участками |
|
20 |
8 |
8 |
3 |
1 |
0 |
Свечение газоразрядной лампы в руке экспериментатора при использовании переменного электромагнитного поля – обычное явление. Необычным является свечение в руке лампы накаливания, к которой подведен только один провод. Раскаленная спираль в лампе, находящейся в руках экспериментатора, в то время, когда к лампе не подведены два провода, несомненно вызывает интерес. Известно, что Никола Тесла демонстрировал светящуюся в руке лампу. Мне не удалось найти описания этого эксперимента, поэтому было разработано специальное устройство. Ниже представлены результаты проведенных экспериментов, в ходе которых наблюдалось свечение лампы накаливания в руке экспериментатора. На рис.12а и рис.12б представлены варианты устройства для демонстрации свечения лампы накаливания 220В в руке.

а б
Рис. 12. Варианты устройства для демонстрации свечения лампы накаливания 220В в руке.
В экспериментах, демонстрирующих свечение лампы накаливания в руке, не использовалась "вилка Авраменко". Свечение лампы в руке обеспечивалось как за счет электронных узлов, так и за счет конструктивных особенностей устройств.
На рис.13 и рис.14 крупным планом представлены фотографии, на которых показано свечение ламп накаливания 220В, 15Вт и 220В, 25Вт в руке экспериментатора. При этом лампы не включены в замкнутую цепь. Яркость свечения была тем большей, чем выше уровень напряжения подавался на генератор. В целях безопасности эксперимента на генератор подавалось напряжение, обеспечивающее горение ламп примерно в половину накала.

Рис. 13. Свечение лампы накаливания 220В, 15Вт в руке экспериментатора.

Рис. 14. Свечение лампы накаливания 220В, 25Вт в руке экспериментатора.
На фотографиях (рис.13 и рис.14) в нижней части виден проводник, который подключен одним проводом к генератору. На этих же фотографиях видно, что к проводнику подносится только один контакт цоколя лампы. Другой контакт лампы остается не подключенным. Таким образом, к лампе подключен один провод, идущий от генератора. Спирали ламп горят примерно в полнакала в руке экспериментатора.
Возможно, опыты Николы Теслы по передаче энергии были чем-то похожи на описанные выше эксперименты. По крайней мере, эксперименты показывают, что революционные идеи Н.Тесла по беспроводной передаче энергии имеют реальные перспективы.
ИСТОЧНИКИ ИНФОРМАЦИИ.