Сверхсветовая связь: тахион и причинность
Путенихин П.В.mailto: m55@mail.ruТахион в теории относительности нарушает причинность
На начало 2013 года тахион (tachyon) или какая-либо другая сверхсветовая частица не обнаружены. Можно задаться вопросом: а нужна ли вообще физике эта гипотетическая частица? Не является ли она досужим вымыслом? С одной стороны, если посмотреть литературу по тахионам и сверхсветовым коммуникациям, то можно обнаружить, что по мнению всех авторов второй постулат СТО не запрещает сверхсветового перемещения. Более того, даже Эйнштейн склонялся к тому, что в теории относительности нет прямого запрета на сверхсветовое движение. С другой стороны, не запрещено – не значит, что существует. Сверхсветовая связь в теории относительности явно ведёт к нарушению причинности, позволяет посылать сигнал в прошлое. Однако, против этого приводятся многочисленные возражения. Одно из основных возражений обосновывается принципом реинтерпретации. Анализ разными авторами нарушения причинности в СТО, как правило, приводит к противоречивым выводам: нарушение то ли есть, то ли его нет. Тем не менее, главными доводами в пользу существования сверхсветовых частиц являются два обстоятельства. Первое – это квантовая запутанность, которая явно требует признания сверхсветовой передачи, пусть и квантовой, но всё-таки информации [17]. Второе: любая передача информации требует какого-либо носителя. Возможны, если упрощённо рассмотреть ситуацию, три вида переноса: перенос информации как таковой, перенос силового влияния и перенос материи. Легко заметить, что все они в определённом смысле взаимосвязаны и ведут к Стандартной модели элементарных частиц, то есть вполне определённо требуют наличие какой-то частицы. Таким образом, следует признать существование сверхсветовой частицы, даже если она и нарушает основные положения теории относительности [8, 20, 22].
Но всё-таки, возникает ли парадокс причинности в СТО, если допустить сверхсветовую скорость передачи информации? Рассмотрим классический временной причинно-следственный «парадокс дедушки» на примере его менее криминального аналога - «парадокса взрывателя» [14]. На рисунке показаны две ИСО А и В (далее кратко - А и В). В условное время ровно 00 часов по часам обеих систем В начинает удаляться от А со скоростью 0,87с. Такая скорость взята для простоты расчетов, поскольку при такой скорости движения часы в удаляющейся ИСО замедляются ровно в два раза по отношению к неподвижным часам.
Пусть ровно через 2 часа движения из A по таймеру T срабатывает реле K, которое контактами U включает передатчик P, который посылается сверхсветовой (мгновенный) сигнал s (например, тахион) на удаляющуюся платформу B. В соответствии с СТО часы на платформе B с точки зрения отправителя A отстают и показывают только 1 час, поскольку B двигалась 2 часа, и на ней часы идут в два раза медленнее. Полученный на платформе B сигнал s с помощью реле M запускает ретранслятор R, который посылает в сторону A ответный сигнал q:

Рис.1. По таймеру T срабатывает реле K и своими контактами U включает передатчик P, который посылает сигнал s на платформу B. Там этот сигнал запускает реле M, которое своими контактами включает ретранслятор R, посылающий ответный сигнал q на платформу A. По сигналу q на платформе взрывается устройство и уничтожает таймер T, реле K, контакты реле U и передатчик P.
Поскольку В получил сообщение в 1 час, следовательно, он находился в пути ровно 1 час. Здесь появляется первый «подводный камень» сверхсветового движения. Ровно 1 час – это показания часов В с точки зрения A в момент получения на платформе В сигнала s. Эти показания мы вычислили по правилам теории относительности, в которой сверхсветового движения, вообще-то, нет. То есть, время 1 час в B мы получили по указанию, требованию, предсказанию СТО. В свою очередь, с точки зрения B по часам A прошло также ровно в 2 раза меньше времени. Действительно, по требованию СТО мы принимаем: поскольку B как бы получил сигнал в 1 час, то на A, по его мнению, прошло 30 минут. И вновь принимаем во внимание приведённое выше замечание о сверхсветовых сигналах, которых в СТО нет. Итак, А получит ответный сигнал q, по мнению B и требованиям СТО, именно в 30 минут от начала разлёта.
Далее по полученному на платформе A сигналу q взрывается заряд Z, который уничтожает таймер T, реле K с контактами U и передатчик P, распыляет их до атомарного состояния. Произошло это, как показано, в 00:30 минут по часам платформы A. Но тогда, следовательно, получается, что в 2 часа на платформе A не может сработать таймер T, не может сработать реле K и включить своими контактами U передатчик P. Следовательно, не может быть отправлен сигнал s, поэтому не будет включено реле M на платформе B и не будет запущен ретранслятор R, который не сможет отправить обратный сигнал q на платформу A, при отсутствии которого не сработает взрывное устройство Z и не уничтожит передатчик P. Это абсурд. Сигнал на уничтожение получен с B, поскольку об этом была дана команда с A в 2 часа таймером T и остальными элементами схемы. Но таймер T на A был уничтожен ещё в 00:30 минут, за полтора часа до его предполагаемого срабатывания. А если таймер не сработал, то на В не мог быть отправлен сигнал-команда на его уничтожение. Следовательно, таймер T не мог быть уничтожен! А раз он не был уничтожен, то он был уничтожен?!! Замкнутый порочный круг, парадокс причинно-следственной связи, который никак не может быть урегулирован, сглажен выбором системы координат для изменения временного порядка:
«Зависимость временного порядка событий от выбора системы координат порождает различные акаузальные эффекты: возможность будущему влиять на прошлое, циклические петли последовательностей событий и т. д.» [10].
Рассмотренная схема мысленного эксперимента специально сконфигурирована таким образом, чтобы эти акаузальные эффекты присутствовали во всех без исключения системах координат, чтобы сделать недействующим принцип реинтерпретации, поскольку всегда будет наблюдаться парадокс.
Тахионный принцип реинтерпретации
Выводы о несовместимости сверхсветовых скоростей со специальной теорией относительности появились практически одновременно с теорией относительности. Применение к сверхсветовой частице - тахиону принципов и математики теории относительности наделяло тахион совершенное не физическими характеристиками: мнимой массой, отрицательной энергией, мнимым внутренним временем и мнимым сокращением отрезков. В дополнение к этому оказалось, что тахион явно нарушает причинно-следственные отношения и позволяет осуществить движение в прошлое. Такое положение было недопустимо, поэтому предпринимались попытки как-то обосновать совместимость тахиона с математикой теории относительности. Для начала было принято, что второй постулат, вообще-то, напрямую не запрещает сверхсветовых перемещений. То, что это «разрешение» приводит к мнимой массе, считается допустимым, а что она представляет собой, пока остаётся без объяснений. Другим оправданием тахиона в СТО стало утверждение о том, что принципы причинно-следственных отношений, строго говоря, ни одной физической теорией не постулируются, а принимаются за истину на основании прошлой практики и физических экспериментов, то есть, фактически считается, что соблюдение причинности не обязательно. Есть мнение, что выводить будущее из прошлого мы просто предпочитаем эмоционально. Хотя в микромире нарушение причинности считается фактом, простой логический анализ физических процессов макромира явно приводит к парадоксам причинности, которые, однозначно, в окружающей действительности не наблюдаются. Чтобы хоть как-то свести концы с концами, был сформулирован принцип реинтерпретации, который должен был показать отсутствие нарушения причинности тахионом (tachyon’s violation of causality). Как утверждается в [15], впервые этот принцип был сформулирован Штрумом:
«... Л.Я.Штрумом было сформулировано положение (названное впоследствии ... «принципом реинтерпретации»), решающее проблему причинно-следственных связей при движении со сверхсветовыми скоростями».
Биланюк и Сударшан этот принцип формулируют в следующем виде [12]:
«Мы назвали это «принципом реинтерпретации». Частицы «с отрицательной энергией», сперва поглощенные и затем испущенные, есть не что иное, как частицы с положительной энергией, испущенные и поглощенные в обратном порядке».
Реинтерпретация должна была снять возражения, основанные на принципе причинности, против возможности существования сверхсветовых сигналов и позволить сформулировать непротиворечивую теорию тахионов. Формулировку этого принципа, не меняя её по существу, уточняет Барашенков [10]:
«более точно принцип реинтерпретации следует сформулировать следующим образом: при любом взаимодействии частица, имеющая отрицательную энергию и движущаяся в конечном (начальном) состоянии реакции обратно во времени, должна интерпретироваться как соответствующая античастица, имеющая положительную энергию и движущаяся вперед во времени в начальном (конечном) состоянии реакции».
Немного иначе этот же принцип, упомянутый под названием «принцип переключения», формулирует Чонка [28]:
«... O`, который видит частицу с отрицательной энергией, движущуюся назад во времени от tA(O`) к tB(O`), должен считать, что он видит частицу с положительной энергией, испущенную в момент tB(O`) и движущуюся в прямом направлении во времени к tA(O`). Соответственно О` не будет наблюдать никакого нарушения запаздывающей причинности».
В конечном счёте, главным возражением против сверхсветовых движений является не их противоречие теории относительности, а именно возможное нарушение причинно-следственных отношений. Использование математики специальной теории относительности к сверхсветовому движению, безусловно, несовместимо с принципом причинности. Сверхсветовые сигналы в СТО неизбежно ведут к тому, что следствие влияет на породившую его причину [14]. Здесь необходимо указать явно: нарушение принципа причинности вызывается исключительно использованием в теории относительности сверхсветовых коммуникаций. Попытки поменять местами причину и следствие на основании того, что будущее может быть достоверно известно [28], лишь прячет проблему за эффектом киноленты, прокручиваемой в обратном направлении. В примерах, рассмотренных в работе [10], cделаны выводы:
«... замкнутый временной цикл событий образуется лишь в той системе координат, которая движется по отношению к источнику тахионов; в другой системе происходит обычный периодический процесс».
«Нетрудно убедиться, что последовательность событий на рис. 2, а при учете принципа реинтерпретации не изменится, а процесс на рис. 2, б будет представлять собой спонтанное излучение антитахиона, последующее испускание радиоволны радиопередатчиком и поглощение их далее источником тахионов. Последовательность событий на рис. 3 также укладывается в причинно-следственную цепь».

Рис.2. Применение принципа реинтерпретации. Рисунки 2а, 2б, 3а и 3б из статьи [10]
Обращаю внимание на следующие слова в приведённых цитатах:
а) «замкнутый временной цикл» - это так называемая «петля времени», излюбленный приём фантастов в произведениях о путешествиях во времени. При наличии тахионов замкнутый временной цикл образуется без каких либо исключений;
б) «спонтанное излучение» - происходит, когда в реальном физическом процессе меняются местами поглощение (следствие) и испускание где-то (причина) тахиона, и возникает реинтерпретационная мистика беспричинного излучения антитахиона. Для этого случая весьма показательна иллюстрация: «Телеграфную передачу спонтанно излучающим атомом сонета Шекспира движущийся наблюдатель воспримет как подлинное чудо» [10].
При наличии тахионов принцип реинтерпретации не избавляет ни от временных циклов, ни от беспричинности. Вдобавок появляются масса мнимых параметров. Попытка сгладить наличие мнимостей в теории относительности выглядит малоубедительно:
«Вещественными должны остаться энергия и масса частицы, поскольку они могут быть наблюдаемыми. Обе эти величины будут вещественными, если мы допустим, что масса покоя является мнимым параметром».[12]
Против этого, вроде бы, сложно возразить. Действительно, сверхсветовая частица не может остановиться:
«если частицы с мнимой массой существуют, то их скорость никогда не может быть меньше с» [12],
поэтому математически она вполне может иметь мнимую собственную массу. Однако назвать это физической характеристикой невозможно. Как бы ни проявлял себя тахион, он является материальным объектом. Даже если его массу и нельзя измерить, то это не может быть основанием для признания её нематериальной субстанцией. Что такое «мнимая материя» представить невозможно.
«Следует ожидать, что наши друзья-скептики так легко от нас не отстанут. Они могут указать, что величина [1 - (v/c)2]1/2 встречается не только в выражении для массы, но также и в выражении для длины, интервала времени и т. п. Поскольку все эти величины измеримы, они должны описываться действительными числами. Единственный способ сделать их такими - это вновь постулировать, что их собственные длины, собственные времена жизни - мнимые параметры, подобно собственной массе. И поскольку никакая величина, которая должна описываться мнимым параметром, недоступна измерению, их мнимость не должна служить источником беспокойства». [12]
И это правильно: не отстанут. Безупречную в рамках границ применимости теорию относительности распространяют за эти границы, превращая её в чистую математику, оторванную от физической реальности.
При этом очевидно, что все мнимые величины тахиона, обоснованные выше, являются неизбежным продуктом только сверхсветовой «расширенной» теории относительности. Только в теории относительности сверхсвет вынуждает оперировать различными «мнимостями», имеющими исключительно математическую природу без какого бы то ни было физического смысла. Точно также проблема причинности при сверхсветовой связи и «машины времени» являются исключительно проблемами теории относительности. Предельность скорости света является следствием её инвариантности – постулата СТО о неизменности скорости света [21]. Одного только условия неизменности скорости света в различных ИСО достаточно, чтобы прийти к выводу – это максимально возможная скорость. И наоборот, если есть предельная скорость, то она автоматически становится инвариантом. То есть имеется строгая взаимосвязь. В случае отказа от инварианта скорости тахиона и света мы приходим к физике Ньютона. По поводу использования тахиона для синхронизации часов Фейнберг пишет:
«Далее может возникнуть возражение, основанное на том, что преобразования, связанные с новым видом синхронизации, могут сделать инвариантными некоторые другие законы, например скорость распространения тахионов» [26].
Действительно, если инвариант - это максимальная скорость, то скорость света уже не может быть инвариантом, поскольку у тахиона скорость выше. Но далее Фейнберг делает неверный вывод:
«Это, по-видимому, неверно, так как для этого нужно, чтобы скорость данного тахиона была одной и той же для двух движущихся относительно друг друга наблюдателей, что заведомо неверно в общем случае. Инвариантность скорости света относительно различных наблюдателей связана не только с использованием света для синхронизации часов, но и с тем эмпирическим фактом, что относительно любого наблюдателя скорость света не зависит от его энергии, т. е. скорости источника света. Поскольку для тахионов это условие не может быть выполнено, их скорость будет различной для различных наблюдателей» [26].
Возникает абсурдная неразрешимая ситуация. Свойства тахиона описываются математикой теории относительности, в том числе с использованием её следствий - преобразований Лоренца. Но тахион делает эти преобразования ошибочными, недействительными, что можно достаточно легко продемонстрировать. Если в теорию относительности ввести сверхсветовые коммуникации, то она делает парадоксальные, абсурдные, взаимоисключающие выводы. При этом простое игнорирование сверхсветовых перемещений при их реальном наличии сохраняет её справедливость. Это означает, что теория относительности является теорией математической, а в физической реальности она делает кажущиеся предсказания.
С учётом всего сказанного следует сделать следующие заключения:
1. Сверхсветовые коммуникации (перенос вещества, передача информации) несовместимы с теорией относительности. Специальная теория относительности справедлива в рамках своих постулатов. Заявление Мандельштама [15] ошибочно - сверхсвет не опровергает теорию относительности в математическом смысле.
2. Принцип реинтерпретации не решает проблему включения сверхсвета в СТО; напротив, он фактически отвергает причинность своими фокусами с перестановкой местами причин и следствий. Терминологические фокусы с «опережающей причинностью» можно назвать «толерантным, политкорректным» определением беспричинности:
«... принцип причинности все же создает определенные трудности в проблеме сверхсветовых движений» [14].
«... сверхсветовые сигналы действительно запрещаются вторым началом термодинамики» [25].
3. Попытки реинтерпретацией залатать противоречия обратного движения во времени выглядят крайне неубедительно. В известных статьях приводятся примеры, которые лишь в некотором конкретном единичном случае позволяют «не увидеть» нарушение причинности. На самом деле в них идёт речь лишь о том, что «причинное будущее» просто напросто достоверно известно из множества ранее проведённых опытов, основанных на классической, нормальной причинности.
4. Тахион не обнаружен, значит, самое время для реинтерпретации ввести в обращение антитахион и заменить возможный реальный физический процесс поглощения тахиона, пусть и с нефизическими параметрами, на испускание его «физического призрака».
5. Легко понять стремление «суперструнных М-Теорий Всего» избавиться от «потустороннего» тахиона. При всей признанной слабости string theory - отсутствия у неё проверяемых предсказаний, ей только тахиона и не хватает, с его мнимыми «анкетными данными» и покушением на причинность. К тому же и без тахиона теория относительности в М-теории находится в конфликте с квантовой механикой вплоть до полного её отторжения.
Тахион в теории относительности разрешает движение в прошлое
Я умышленно в приведённом выше описании сказал: «как бы получил сигнал». При простом логическом, словесном анализе сверхсветовой связи заметна некоторая странность в сверхсветовом механизме теории относительности. Что-то здесь не так! Однако используемые при таком анализе традиционные диаграммы не дают никаких оснований усомниться в правильности механизма (рис.2).
Действительно, на рисунке ни мнемонические обозначения, ни стрелочки-траектории не имеют никаких видимых странностей и неопределённостей. Диаграмма – она и есть диаграмма. Однако, если рассмотреть ситуацию внимательнее, то всё-таки можно заметить слабую обоснованность выводов. Автор так описывает диаграмму:
«Радиопередатчик движется по траектории А, источник тахионов — по траектории В. Волнистые линии — траектории тахионов. В системе координат, связанной с источником тахионов (а), времена событий удовлетворяют условию t`1 < t`2 < t`3 < t`4. В системе координат радиопередатчика (б) временной порядок испускания и поглощения тахиона оказывается переставленным: t3 > t4, и при достаточно большой скорости тахион достигнет радиопередатчика раньше, чем последний успеет испустить радиоволну: t4 < t1» [10].
Откуда в описании взялось условие t3 > t4 (в описании под рисунком 2 в статье указано t3 < t4 - очевидная опечатка)? Может быть, с диаграммы? Но тогда откуда оно появилось на диаграмме? Понятно, что оно вычислено согласно положениям СТО. Но в описании это лишь негласно подразумевается: «согласно СТО с точки зрения передатчика часы у приёмника показывают время t3 > t4». Это существенно: не часы показывают t3 > t4, а передатчику кажется, что часы показывают это, ведь непосредственно показаний часов t3 передатчик наблюдать не может, он лишь полагается на предсказания СТО. Но для сверхсветовой связи это предсказание не доказано.
Попробуем решить проблему замкнутой петли времени с помощью рассмотренного выше принципа реинтерпретации. И сразу же наталкиваемся на новый абсурд. Согласно принципу мы можем рассматривать излучение тахиона s с положительной энергией как поглощение s-антитахиона с отрицательной энергией. Поскольку нам нужно разорвать цепочку обратных во времени последовательностей, то мы должны сделать это, в том числе, и в передатчике P. В этом случае передатчик, согласно реинтерпретации, не может излучить тахион, поскольку он поглощает антитахион. Следовательно, возможна только обратная последовательность, которая предусматривает спонтанное срабатывание контактов U реле K. Спонтанное – это синоним «беспричинного». Если мы и можем допустить, что контакты как бы сами собой замкнулись, то спонтанное появление напряжения на катушке реле K допустить просто невозможно. Это тем более невозможно, ведь передатчик P был уничтожен перед получением антитахиона.
Может быть принцип реинтерпретации что-то прояснит в точке излучения q-антитахиона взрывным устройством? Звучит, в общем-то, приемлемо: взрывается устройство (спонтанно!) и излучает антитихион. Лёгкое насилие над здравым смыслом и мы получаем «причинно-следственную» последовательность. Устройство, которое не предназначено для излучения антитахионов - приёмник во взрывном устройстве - посылает его устройству, которое не предназначено для их приёма, а, наоборот, предназначено как раз для излучения (тахионов). Более того, оно ещё умудряется управлять контактами реле M, в результате чего в катушке реле появляется напряжение.
Как видим, принцип реинтерпретации не даёт разумного размыкания петли времени. Этот принцип по самой своей сути является ошибочным, парадоксальным. То, что в отдельных случаях он как-то позволяет прояснить ситуацию с петлями времени, означает только одно. В этих случаях причинно-следственные отношения не являются жёсткими, отчётливыми. В них парадокс есть, просто он завуалирован, невидим.
Тахион несовместим с теорий относительности
Того, что тахион и любые другие сверхсветовые коммуникации ведут к нарушению причинно-следственных отношений, достаточно, чтобы исключить их из теории. Но свойства сверхсветовой связи ведут к ещё более существенным последствиям в теории относительности. Помимо нарушения причинности движение быстрее скорости света ведёт к полному разрушению всех лоренцевых преобразований: сокращения отрезков, замедления часов, фактически разрушая самые основы теории относительности, о чём предупреждал Мандельштам:
«...опровергнуть [теорию относительности] можно только в том случае, если в природе найдутся процессы сигнального характера, более скорые, чем свет» [15]
Применение в рамках СТО сверхсветовых коммуникаций приводит к логическому парадоксу, абсурду. СТО принципиально несовместима со сверхсветом и даёт абсурдные предсказания, когда происходит обмен сверхсветовыми сигналами. Покажем это на примере трёх инерциальных систем отсчета: лабораторной условно неподвижной ИСО С, в которой от точки S разлетаются в разные стороны две подвижные ИСО А и В (для краткости далее A, B и C). Этими же буквами обозначим наблюдателей и часы в соответствующих ИСО. По истечении времени tС по часам С от начала движения прочитаем показания всех подвижных часов, а также собственных часов лабораторной системы - D и E, одинаково удалённых от точки S. Время снятия показаний tC выберем таким, что часы A окажутся напротив часов D, а часы B - напротив E. Это возможно вследствие симметрии системы.

Рис.3. Две ИСО A и B движутся относительно лабораторной, условно неподвижной ИСО C. В каждой из ИСО имеются часы - A, B, D и E.
Сразу же заметим, что tDC = tEC, поскольку это неподвижные часы, синхронизированные в ИСО С. Здесь tDC означает время на часах D с точки зрения наблюдателя системы отсчёта C. Далее все показания часов я буду обозначать аналогично.
Очевидно, что в момент, когда часы А совместятся с часами D, а часы В – с часами E, показания часов А и В будут одинаковыми tАС = tВС, поскольку установка симметрична. Действительно, показания этих часов снимаются прямым наблюдением, и они не могут быть ни «кажущимися», ни абстрактно вычисленными. По этой же причине мы также обязаны признать, что tAA = tAC и tBB = tBC. Иначе и быть не может, ведь наблюдатель A визуально считывает показания с тех же самых часов, что и наблюдатель C, а в одной и той же точке пространства движущиеся часы не могут показывать два разных значения времени! То же самое можно сказать и относительно часов В. Сравнивая три последних равенства, получаем tAA= tAC= tBC= tBB.
Если наблюдатели A и B передадут друг другу со сверхсветовой скоростью показания своих часов, то с точки зрения наблюдателя B это будут показания tAA, равные показаниям tBB. Можно сказать, что мгновенная передача информации соединяет информационно две точки в пространстве, делая их как бы одной и той же точкой пространства. А это значит, что времена tAA и tBB будут равны, с какой бы точки зрения, из какой бы ИСО мы ни рассматривали сверхсветовую передачу показаний часов.
Таким образом, показания внутренних часов A и B равны в любой момент времени с точки зрения всех трёх наблюдателей. Значит, в любой момент времени наблюдатель B может получить от A мгновенное сообщение, что у A точно такие же показания часов. Следовательно, поскольку движение от S начато одновременно, то окажется, по мнению B, у него прошло такое же время, что и на A, и A удалился от S на такое же расстояние, что и B. И наоборот. Это означает, в свою очередь, что ни один из отрезков пути не испытал лоренцева сокращения, а часы обоих наблюдателей шли синхронно.
Известно, что в соответствии с положениями СТО tAA ≠ tAB и tBB ≠ tBA. Но полученные со сверхсветовой скоростью показания из движущейся ИСО вступают в непримиримое противоречие с СТО, показывая, что все эти показания часов равны:
| tAA = tAC = tBC = tBB = tAB = tBA |
|
Все показания часов в рассмотренном мысленном эксперименте снимаются непосредственным измерением, в то время как преобразованиями лоренца показания удалённых часов вычисляются абстрактно, с так называемой «точки зрения». Тем не менее, в рамках постулатов математически эти преобразования безупречны и не могут быть опровергнуты никаким самым изощрённым мысленным экспериментом. Следовательно, единственной причиной расхождения является принципиальная несовместимость сверхсветовой передачи информации с постулатом о предельности скорости света. Теория относительности основана на инварианте скорости света, отказ от него естественным образом приводит к неразрешимым парадоксам, противоречиям в логике теории.
Разрешить все противоречия со сверхсветовой скоростью передачи информации может только отказ в области сверхсветовых скоростей от инварианта скорости света, от математики СТО. В этом случае не останется никаких нарушений причинно-следственных отношений, никаких петель времени и парадоксов. Действительно, диаграммы рис.2 показывают якобы замкнутые петли времени. Вроде бы на картинке всё логично. Но на рисунке суть существенно искажена. Сравним рис.3 с тремя ИСО и диаграммы рис.2. Если использовать логику диаграммы рис.2 нам следует сказать о ситуации на рис.3: «в A сигнал прибудет в прошлое с точки зрения B». То есть, B считает, что A получит сигнал тахиона «в прошлом». В нашем примере это на 1 час раньше: если B отправил сигнал в 2 часа, то A получил его, как он считает, в 1 час. Но это – с позиции СТО! В СТО нет сверхсветовых сигналов, поэтому она делает для них ошибочные предсказания. Наблюдатель C отчетливо видит, что A получил сигнал от B не в 1 час, а точно в то же время, что показывают часы B – в 2 часа. Здесь нельзя использовать «показания часов А с точки зрения наблюдателя В», поскольку А получил сигнал по собственным часам, а не по кажущимся наблюдателю В. Поэтому вопреки выводам СТО ответный сигнал А отправит не в 1 час по «кажущимся наблюдателю B» часам, а точно в 2 часа по своим реальным часам. С учетом этого рассмотрим этот рисунок более внимательно (рис.4).
Вследствие симметрии изображённой на рисунке установки все события в точках А=D и B=E с точки зрения наблюдателей С происходят полностью тождественно. То есть, для наблюдателей в C система A тождественна системе В (с учетом противоположных направлений движения). Все показания часов и «кажущиеся» времена обеих систем А и В для наблюдателей этой лабораторной, неподвижной системы отсчета С в точности равны. «Кажущиеся» часы, это те самые часы, про которые говорят «с точки зрения…». То есть, показания часов A с точки зрения В наблюдателю С известны: это показания часов В с точки зрения А. Мы рассматриваем одно из мгновенных состояний движущихся А и В, но это относится ко всем без исключения положениям систем.

Рис.4. Отправленный из А тахион прибудет к В точно в то же, время, что показывают часы А.
С другой стороны, движущаяся сверхсветовая частица одинаково движется как между А и В, так и внутри С между часами D и Е. Здесь нужно указать на условную инвариантность скорости света тахиона. Она практически не зависит от скорости источника B ввиду её малости по сравнению со скоростью тахиона. Поэтому испущенный от часов A тахион прибудет в B «параллельно» с тахионом, испущенным от часов D к часам Е.
Следовательно, как только A испустит тахион к B, наблюдатель C сделает однозначное наблюдение: этот тахион прибудет в этот же момент и к часам B и к часам Е. Другими словами, тахион прибудет в B, когда там показания всех часов в точности равны показаниям всех «симметричных» им часов в А. Это означает, что реальные наблюдения из С показывают: тахион прибудет в удалённую В точно в то же время, что и время его отправки из А, хотя на основании математики СТО мы должны были получить движение тахиона в прошлое! Но, как видим, никакого движения в прошлое нет. Тахион, испущенный из A в 2 часа прибудет в B, в которой тоже 2 часа. Более того, если B сразу же «вернёт» этот тахион обратно к A, то в А он прибудет опять же точно в это же время – в 2 часа. Никакой замкнутой петли времени не образуется, не наблюдается никакого нарушения причинно-следственной связи при сверхсветовой скорости передачи информации. Поэтому «тахионные» диаграммы СТО, показывающие эти нарушения, ошибочны.
Необходимое пояснение. Я указываю кратко «с точки зрения наблюдателя», но эту фразу следует понимать в полном смысле: «с точки зрения наблюдателя на основании требований СТО». То есть, эта точка зрения отражает не только скорость движения и местоположение наблюдателя, но и тот факт, что наблюдаемые им показания часов диктуются теорией относительности, являются директивными, приказными. Наблюдатель на самом деле не наблюдает, а вычисляет эти «наблюдения», подчиняясь математике СТО.
Справедливости ради отмечу: в рассмотренных примерах СТО ошибается только потому, что её заставляют делать вычисления, для которых она не предназначена. СТО – верная математическая теория, но она неприменима к сверхсвету, и попытки применять её в сверхсветовых расчетах противоестественны. Единственным «тёмным местом» СТО является её второй постулат об инвариантности скорости света [18]. Никто и никогда не сможет логически обосновать: каким образом проявляется этот инвариант, как это происходит, что скорость фотона одна и та же по отношению к неподвижной и подвижной системам. Почему-то при анализе опыта Майкельсона-Морли забывают, что все выводы сделаны без оглядки на внешнего наблюдателя. Платформа сокращалась не с точки зрения наблюдателя, находящегося вне Земли, а с точки зрения наблюдателя на Земле! Рассмотрим этот процесс на примере платформы:

Рис.5. Скорость фотона, движущегося мимо платформы не зависит от её скорости. Почему?
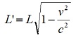
Длина платформы в неподвижном состоянии L. Находясь на платформе, измерим скорость фотона, пролетающего мимо. Затем разгонимся вместе с платформой до скорости v и вновь измерим скорость фотона, пролетающего мимо платформы. Мы испытали ускорение при разгоне и точно знаем, что скорость платформы изменилась. Если фотон движется в попутном направлении, то сохранение его скорости мы можем объяснить сокращением платформы до длины L`. Платформа сократилась, поэтому догоняющему нас фотону нужно меньше времени на преодоление длины платформы и скорость его оказывается прежней. Но что значит «платформа сократилась»? Для кого сократилась платформа? Мы находимся на платформе, мы измеряем скорость фотона, значит, платформа сократилась для нас? Абсолютно? Но это неприемлемо для СТО. Для самой платформы никакого реального сокращения быть не может. Вне зависимости от движения она не может сокращаться.
Может быть, платформа сократилась для фотона? Но фотон движется со скоростью света и для него все внешние тела должны иметь нулевые размеры – согласно уравнениям Лоренца. К тому же, это для попутного движения. А если фотон движется во встречном направлении? Тогда всякое абсолютное сокращение платформы привело бы к фактическому увеличению скорости фотона для наблюдателей на платформе. Отсутствие внешнего наблюдателя делает бессмысленным принцип относительности: относить не к чему. Если к внешней ИСО отнести само пространство, то это может объяснить, как показано, только попутное движение платформы и фотона. Замедление темпа времени действует синхронно с сокращением: если бы, например, было только замедление времени, то при ускорении движения платформы фотон двигался бы медленнее, но времени на платформе прошло бы меньше, и скорость фотона получилась бы той же, неизменной. И опять же, это для случая попутного движения. Сокращение платформы и замедление времени для внутреннего наблюдателя не объясняет постоянства скорости в общем случае. Выход один: нужно принимать второй постулат некритично, без анализа, на то он и постулат.
Мнимые параметры движения тахиона (масса, лоренцевы сокращения и изменение темпа хода часов) должны рассматриваться как его явное несоответствие математике СТО. Практически все авторы утверждают, что второй постулат СТО не запрещает сверхсветовых движений. Это крайне плохо обоснованное утверждение. Неужели недостаточно того, что лоренцевы уравнения приводят к абсурдным результатам для тахиона? Мнимая длина отрезка - что это такое? Но эти абсурдные, не физические результаты получаются исключительно вследствие второго постулата. Ведь именно второй постулат является необходимым и достаточным условием для вывода этих уравнений (буста) и вывода о предельности скорости света, максимально возможной скорости движения и передачи информации [17, 21, 27, 16, 24]. Более того, инвариант скорости света, второй постулат неизбежно ведут к принципу относительности (первый постулат). Другими словами, два постулата СТО избыточны, достаточно одного лишь второго постулата, чтобы вывести из него всю СТО и её первый постулат.
Сверхсветовая передачи информации несовместима с теорией относительности, она не входит в неё. А вот в механике Ньютона сверхсветовое движение не приводит ни к каким противоречиям. Поэтому можно сделать крамольный, еретический вывод: специальная теория относительности является частным случаем механики Ньютона! Это можно считать достаточным основанием, чтобы агента сверхсветового движения именовать не тахионом, не квантино. Подходящим названием было бы, например, название ньютино, или ньютонон, или ньютонион.
Наличие материальной субстанции, способной двигаться быстрее скорости света, позволяет предположить возможность создания как сверхсветовых средств связи, так и сверхсветовых средств транспорта. Первоочередной задачей на этом пути является обнаружение этого сверхсветового объекта – тахиона (tachyon) или квантино (quantino).
Здесь можно провести параллели. Известно, что явление интерференции возникает, условно говоря, при взаимодействии одной частицы с самой собой. То есть, в интерференции одна частица выступает как бы в «двух полу-лицах». Однако, в литературе есть сведения о том, что как будто удалось получить интерференционную картину от двух разных частиц. То есть, свойства частицы взаимодействовать только с самой собой удалось «выделить» и создать условия для разных объектов проявить это интерференционное свойство во взаимодействии друг с другом.
Известно также, что другое квантовое явление - запутанность проявляется только во взаимодействии двух отдельных частиц, которые переводятся специальными приёмами в особое состояние. В дальнейшем эти две частицы по-прежнему физически представляют собой раздельные материальные образования, хотя и имеющие общую волновую функцию, вектор состояния. После измерения одной из них, вторая также переходит в собственное состояние, но частицы лишь «обмениваются» так называемой квантовой информацией, оставаясь раздельными материальными образованиям. Обмен квантовой информацией возможен только между этими двумя предварительно запутанными частицами. Но какой бы ни была информация, мы не можем допустить, что она передаётся без какого-то носителя, путём всеми отвергнутого «дальнодействия». Этим носителем может быть тот же тахион. Задача состоит в том, чтобы передать это квантовое состояние третьей частице, не имевшей взаимодействия с этими запутанными частицами. Представляется, что физически такая возможность может быть реализована. В этом случае, зная исходное состояние третьей частицы, можно использовать её как приёмник сверхсветового агента (тахиона).
Действительно, допустим, у нас есть местный поток вертикально поляризованных фотонов и поток запутанных, не имеющих определённую поляризацию, фотонов на удалении (вторые из пар этих запутанных фотонов могут быть где угодно). Принудительная, например, вертикальная поляризация удалённых фотонов будет «передана» тахионами фотонам «приёмникам». С вероятностью 50% фотоны-приёмники после приёма будут иметь теперь уже либо вертикальную, либо горизонтальную поляризацию. То есть, местный вертикальный поляризатор будет пропускать только половину фотонов, вместо исходных 100%. Таким образом, мы получаем сверхсветовой телеграф.
Очевидно, это полностью исключено теорией относительности.
Сверхсветовая синхронизация часов несовместима с теорией относительности
Одним из важнейших вопросов в теории относительности является вопрос синхронизации часов, находящихся в разных точках. Этому вопросу Эйнштейн уделил достаточно много внимания, а при обсуждении СТО до сих пор идут жаркие споры о способах синхронизации и их достоинствах-недостатках. Фейнберг делает предположение:
«Если бы сверхсветовые частицы существовали в действительности, их можно было бы естественным образом использовать для синхронизации часов наблюдателей при относительном движении. Такие наблюдатели были бы связаны не лоренц-преобразованиями, а новой группой преобразований, и тогда отпала бы часть аргументов в пользу требования лоренц-инвариантности» [26].
Однако сам же и отвергает такую возможность:
«Более детальный анализ показывает, что такая точка зрения обманчива. Из общей теории относительности известно, что возможно согласовать измерения, выполняемые двумя наблюдателями, с часами, синхронизованными произвольным образом. Однако в общем случае законы физики не обязаны быть инвариантными по отношению к преобразованиям, полученным таким образом. В частности, ясно, что если для синхронизации часов различных наблюдателей использовать тахионы, имеющие бесконечную скорость, то скорость света не будет одинаковой для этих наблюдателей» [26].
Здесь прямо сказано со ссылкой на теорию относительности, что сверхсветовая передача информации несовместима со вторым постулатом СТО, основой этой теории. Поэтому исследование свойств тахиона с теоретических позиций теории относительности, то есть фактически включение его в релятивизм, где ему на самом деле нет места (место ему в квантовой теории поля), неправомерно. Тахион явно противоречит математическому аппарату теории относительности, поэтому он должен быть исключён из него. При этом очевидно, что в рамках классической физики Ньютона тахион непротиворечив. Сверхсветовая синхронизация остро поднимает проблему инварианта скорости света, фактически противореча ему:
«Далее может возникнуть возражение, основанное на том, что преобразования, связанные с новым видом синхронизации, могут сделать инвариантными некоторые другие законы, например скорость распространения тахионов» [26].
Это весьма серьёзный вопрос, подвергающий сомнению сами основы теории относительности. Фейнберг не допускает этого, что скорость тахиона может быть инвариантом:
«Это, по-видимому, неверно, так как для этого нужно, чтобы скорость данного тахиона была одной и той же для двух движущихся относительно друг друга наблюдателей, что заведомо неверно в общем случае. Инвариантность скорости света относительно различных наблюдателей связана не только с использованием света для синхронизации часов, но и с тем эмпирическим фактом, что относительно любого наблюдателя скорость света не зависит от его энергии, т. е. скорости источника света. Поскольку для тахионов это условие не может быть выполнено, их скорость будет различной для различных наблюдателей» [26].
Однако, в своей аргументации он упускает из виду важное обстоятельство. Выполнение условия независимости энергии тахона от скорости запрещается теорией относительности, вторым постулатом об инвариантности скорости света. То есть, инвариант скорости может быть только один. Если инвариант – свет, то он запрещает тахиону быть инвариантом. Если инвариант – тахион, то быть инвариантом будет запрещено свету. Но инвариант и предельность скорости – жёстко связанные понятия [21]. Только максимальная скорость может быть инвариантом, хотя это не обязательно. Если есть скорость, больше скорости света (faster than light), то скорость света уже не может быть инвариантом. Это легко увидеть, если проанализировать одну из известных форм уравнений Лоренца:
|
| (1) |
Нужно обратить внимание на подкоренное выражение. Входящие в него величины опишем полным, развёрнутым текстом:
с - это скорость света, инвариантной величины; в соответствии со вторым постулатом специальной теории относительности значение этой скорости неизменно, из какой бы системы отсчёта мы её ни фиксировали;
v - это скорость инерциальной системы отсчёта, движущейся относительно неподвижной системы, и длину которой мы вычисляем в этом уравнении; инерциальная система отсчета представляет собой, условно говоря, некоторую тележку, с которой связана система координат, и на которой установлены часы. Это описание полностью соответствует принципам, использованным при создании и положенным в основу специальной теории относительности.
Сразу же с далеко идущими последствиями становится видна весьма сомнительная процедура применения этого выражения (1) к тахиону. Действительно, в этом выражении v - это скорость тахиона. Это значит, что мы рассматриваем в рамках теории относительности один из лоренц-инвариантных объектов. Этим объектом в данном случае является тахион. Он движется как инерциальная система отсчета, поэтому в соответствии с теорией относительности мы можем рассматривать его как некоторую тележку, с которой связаны оси координат и часы. Из этого сразу же следует вывод об ошибочности мнения Фейнберга: скорость тахиона должна быть подставлена вместо скорости света, если хотя бы предполагается использовать тахион в качестве нового инварианта. В противном случае это банальная подмена понятий, естественно и неизбежно ведущая к появлению субстанции, имеющей сомнительно материальную природу с большим набором мнимых характеристик.
Применение к объекту, движущемуся (передающему информацию) со скоростью, превышающей скорость инварианта, приводит теорию относительности к парадоксу, абсурду. Представим себе эту систему отсчёта, связанную с тахионом, из которой мы наблюдаем за движущимися мимо неё фотонами. Эти фотоны из тахионной системы отсчёта будут иметь разную скорость, которая зависит от скорости тахиона! В случае тахионной инерциальной системы отсчёта скорость света в принципе не может быть инвариантом! Но если скорость света - не инвариант, а скорость тахиона - не постоянная, то мы возвращаемся к давно отвергнутой физике Ньютона. Суть её в том, что скорости суммируются, то есть, к скорости тахиона может быть прибавлена скорость его источника. Поэтому неубедительно выглядит вывод:
«С точки зрения взаимосвязи между формами физических законов, как они представляются данному наблюдателю, и требованием инвариантности некоторых величин по отношению к преобразованиям от наблюдателя к наблюдателю, неудивительно, что какой-то один определенный вид преобразований, а следовательно, и способ синхронизации часов, будет более естественным, чем другой, поскольку физические законы уже определены данным наблюдателем. В нашем мире — это лоренц-преобразования, и всякий другой способ синхронизации только вызывал бы затруднения» [26].
Действительно, наблюдения и множество экспериментов явно согласуются с инвариантом скорости света, все физические законы определены достаточно чётко, и в диапазоне досветовых скоростей нет оснований отказываться от инварианта скорости света. Но ожидать его соблюдения на сверхсветовых скоростях не следует. Поэтому и утверждение, что сверхсветовая связь вызовет затруднения для синхронизации часов не вполне верно. Кроме того это возражение звучит несколько двусмысленно. Чем вызвано затруднение? Тем, что это сложно осуществить физически? Нет. Имея такую связь, можно легко выполнить процедуру синхронизации любых часов. Или всё-таки потому, что результат будет неприемлемым? Если будут получены результаты о неинвариантности скорости света при сверхсветовой синхронизации, то это, видимо, ведёт к фальсификации теории относительности, она уже не может претендовать на истинность. Об этом говорили разные авторы [20, 22, 8] и, в частности, Л.Мандельштам:
«...опровергнуть [теорию относительности] можно только в том случае, если в природе найдутся процессы сигнального характера, более скорые, чем свет» [15]
Но возможное опровержение теории относительности не может служить запретом на использование сверхсветовой синхронизации часов. Если существует такой способ, то никакая самая правильная теория не может директивно его запретить. А такие попытки запрета неявно были и ранее. Понятие «нелокальность» возникло именно в результате невозможности совместить явление запутанности (entanglement) с теорией относительности. Когда оказалось, что корреляцию между запутанными частицами невозможно объяснить ни с вероятностной точки зрения, ни с помощью теорий дополнительных переменных, в физику ввели понятие «нелокальность». Для спасения лоренц-инвариантности признали, что запутанные частицы не передают информации и вопрос закрыли. Суть этого решения можно сформулировать как «связи нет, а взаимосвязь есть». Однако если более пристально изучить работы Дж.Белла, Алена Аспекта, закон Малуса и теорию вероятности, то можно сделать интересные выводы.
Например, в 1965 году Дж. Белл пришёл к заключению:
«В квантовой теории с дополнительными параметрами для того, чтобы определить результаты индивидуальных измерений без того, чтобы изменить статистические предсказания, должен быть механизм, посредством которого настройка одного измеряющего устройства может влиять на чтение другого отдаленного инструмента. Кроме того, задействованный сигнал должен распространяться мгновенно так, что такая теория не может быть лоренц-инвариантом» [4, 5].
Дж.Белл корректными математическими выкладками показал, что квантовые корреляции вопреки теориям с дополнительными параметрами не могут быть статистическими, вероятностными, случайными. Но если не частицы имеют сверхсветовую связь, то тогда измеряющие устройства должны взять на себя функцию сверхсветового передатчика! Без сверхсветовой связи, как видим, объяснить корреляцию не удалось.
В 1981 году Ален Аспект провёл серию экспериментов по проверке лоренц-инвариантности квантовой запутанности. Исследуя корреляции двух запутанных фотонов, он приходит к весьма красноречивым выводам:
«Когда измерение на v1 сделано, фотон v2, который не имел определенной поляризация перед этим измерением, проектируется в состояние поляризации, параллельное результату измерения на v1. Это очень удивительно, потому что это изменение в описании v2 происходит мгновенно, безотносительно расстояния между v1 и v2 в момент первого измерения» [1, 2, 3].
То есть, в момент измерения фотона v1 второй фотон v2 сразу же вместе с первым фотоном переходит в собственное состояние, приобретая определённую поляризацию. Это одновременный взаимозависимый переход: второй фотон независимо от расстояния мгновенное «чувствует», что над первым фотоном произведено измерение. То, что доказал Дж.Белл математически, Ален Аспект подтвердил экспериментально.
Результаты работы Дж.Белла и Алена Аспекта показали, что между запутанными фотонами как бы имеется связь. Однако, поскольку эта связь и экспериментально и математически осуществляется со сверхсветовой скоростью, она признана не лоренц-инвариантной, то есть необъяснимой с точки зрения специальной теории относительности. Поэтому нашли компромиссное решение: назвали такую связь нелокальной.
Поведение запутанных частиц описывается известным квантово-механическим законом Малуса:
|
| (2) |
где
P++(a,b) – вероятность того, что оба фотона получат одинаковые поляризации;
a,b – угол, образованный двумя поляризаторами, через которые проходят фотоны.
Выражение закона Малуса имеет ярко выраженную форму закона классической теории вероятностей, описывающего вероятность наступления двух зависимых событий. Первый сомножитель в уравнении (2) – это событие «вероятность перехода в собственное состояние первой частицы», второй сомножитель – событие «вероятность перехода в собственное состояние второй частицы после того, как измерена первая». То есть, события «переход одной частицы» и «переход другой частицы» согласно теории вероятностей являются событиями зависимыми [19]. Одна из частиц явно влияет на другую частицу. Действительно, невозможно представить себе совместное обнаружение фотонов, если один из регистраторов не обнаружил фотона. Это означает, что наступление второго события возможно тогда и только тогда, когда наступило событие первое. Классическая теория вероятностей это объявляет признаком зависимости событий:
«Два события А и В называются зависимыми, если появление одного из них изменяет вероятность появления другого».
Если второе событие не наступило, то вероятность совместного обнаружения фотонов - событие недостоверное:
«Два события считаются независимыми, если вероятность одного из них не зависит от появления или не появления другого события».
Или более подробно:
«Событие В называется независимым от события А, если появление события А не изменяет вероятности В, то есть РА(В) = Р (В)».
Если второе событие наступило - то вероятность совместного обнаружения фотонов становится определённой величиной. Этот факт описывается в теории вероятностей теоремой умножения вероятностей для зависимых событий:
«Вероятность произведения двух событий (совместного появления этих событий) равна произведению вероятности одного из них на условную вероятность другого, вычисленную при условии, что первое событие уже наступило: Р(АВ) = Р(А)РА(В)».
То есть, текстовое написание и словесное описание выражения закона Малуса однозначно показывают, что названные два события, входящие в него - зависимые. Действительно, вероятность 1/2 – это вероятность наступления события для первого измеренного фотона. С этой вероятностью он получит, например, положительную поляризацию. Второй сомножитель cos2(a,b) – это вероятность второго события, что второй фотон также получит положительную поляризацию при условии, что первый фотон был измерен и получил положительную поляризацию. Таким образом, события измерения фотонов зависят друг от друга, влияют друг на друга. А влияние, безусловно, требует передачи информации или энергии от влияющей частицы к той, на которую она влияет [17]. Невозможно описать зависимость без передачи влияния, энергии, информации – «текста» зависимости. Тот факт, что на сегодня исследователи не смогли обнаружить «переносчика» этого влияния, не даёт оснований для его отрицания. Тем не менее, считается, что явление запутанности не позволяет передавать информацию, в чём, собственно, и состоит смысл понятия «нелокальность». Однако, возникает странная ситуация. Имеются два объекта, между которыми по всем признакам имеется сверхсветовая связь. Следовательно, имеется принципиальная возможность использовать её для сверхсветовой синхронизации часов, не смотря на сомнительные утверждения о трудностях такой синхронизации. И наоборот, если такая синхронизация осуществима, то она в свою очередь свидетельствует о правильности выводов о наличии такой связи.
Действительно, простой способ такой синхронизация описан в работе [20]. Используя заранее оговоренные редко встречающиеся комбинации (сигнатуры) в последовательности измеренных корреляций частиц, часы в двух ИСО синхронизируются по согласованному правилу. Например, обнуление минутных показаний часов. В этом случае часы этих ИСО будут идти синхронно в пределах часа – будут совпадать секунды и минуты. Очевидно, что при такой синхронизация автоматически рушится вся аксиоматика специальной теории относительности, поскольку обнаруживается, что интервалы между синхронизациями в точности равны в обеих ИСО. На рисунке приведена схема ещё одного мысленного эксперимента по проверке синхронности хода часов [22]:

Рис.6 Сигнатуры (рулоны бумаги), на которых отображены данные датчиков и показания часов с точки зрения неподвижной ИСО.
В условно неподвижной ИСО находится источник S запутанных фотонов, которые испускаются в противоположных направлениях в сторону движущихся к источнику S двух ИСО - А и В. Скорости этих систем отсчёта одинаковы. Вследствие симметрии с точки зрения неподвижной системы отсчёта фотоны прибывают в А и В одновременно и одновременно переходят в собственные состояния в результате измерения одной из них. Какой из фотонов измерен первым, не имеет значения. Все процессы измерения в каждой из систем отсчёта А и В абсолютно идентичны с точки зрения внутренних наблюдателей. Поэтому записи времени прибытия и поляризации фотонов будут абсолютно одинаковыми. Но условие мгновенности коллапса волновой функции запутанных фотонов требует признать, что когда фотон измерен в одной ИСО, то местный наблюдатель однозначно принимает: такой же переход в собственное состояние произошёл и у второго, дальнего фотона. Симметрия системы показывает, что каждый из фотонов перешёл в собственное состояние не где-нибудь, а строго в измерителе в своей ИСО – А или В.
Когда две ИСО сойдутся в точке размещения источника запутанных фотонов S, будут получены две ленты с записями А и В. Как было показано выше, эти ленты являются тождественными. Это означает, интервалы прибытия фотонов и их измерения в обеих ИСО А и В происходили в одно и то же время с любой точки зрения, то есть часы шли строго синхронно, вопреки положениям специальной теории относительности. В этом случае есть только два вывода: либо теория относительности неверна, либо сверхсветовые коммуникации неприменимы к ней.
То, что физический эксперимент, который можно провести в реальных условиях, противоречит математической теории, является существенным основанием для ограничения применимости теории к реальному миру. Поэтому есть необходимость проведения экспериментов по проверке выполнения в реальности принципа инвариантности скорости света [23]. Поскольку существование сверхсветовой частицы можно считать доказанным, следует ожидать, что такой эксперимент подтвердит нарушение второго постулата СТО в реальности.
Литература
- Aspect A. «Bell`s theorem: the naive view of an experimentalist», 2001,
http://quantum3000.narod.ru/papers/edu/aspect_bell.zip (дата обращения 10.02.2013) - Aspect A. «Теорема Белла: наивный взгляд экспериментатора», (Пер. М.Х.Шульмана), Институт исследований природы времени, 2006,
http://www.chronos.msu.ru/RREPORTS/aspek_teorema_bella.pdf (дата обращения 06.02.2013) - Aspect A. «Теорема Белла: наивный взгляд экспериментатора», (Пер. П.В.Путенихин), Квантовая Магия, 4, 2135 (2007),
http://quantmagic.narod.ru/volumes/VOL422007/p2135.html (дата обращения 06.02.2013) - Bell J.S., On the Einstein Podolsky Rosen paradox, Physics Vol.1, No.3, pp.198-200, 1964
- Bell J.S., On the Einstein Podolsky Rosen paradox, (Пер. П.В.Путенихина; комментарии к выводам и оригинальный текст статьи), Квантовая Магия, 5, 2160 (2008),
http://quantmagic.narod.ru/volumes/VOL522008/p2160.html (дата обращения 16.02.2013)
http://econf.rae.ru/article/6368 (дата обращения 16.02.2013)
http://samlib.ru/editors/p/putenihin_p_w/bell.shtml (дата обращения 16.02.2013) - Sommerfeld A. «Simplified deduction of the field and the forces of an electron, moving in a given way» Proc. Amsterdam Acad. 7 346 (1904)
- Zbinden H., Brendel J., Gisin N., Tittel W., Experimental test of non-local quantum correlation in relativistic configurations, Group of Applied Physics, University of Geneva, February 7, 2006 (2000)
- Алберт Д., Галчен Р., Квантовая механика угрожает теории относительности, «В мире науки», №5, 2009, URL:
http://www.liveinternet.ru/users/2537137/post102897039/ (дата обращения 03.02.2013)
http://spkurdyumov.narod.ru/kvmehanika.pdf (дата обращения 03.02.2013) - Андреев А.Ю., Д.А.Киржниц Д.А. «Тахионы и неустойчивость физических систем», УФН 166 (10) 1135 (1996)
- Барашенков В.С., «Тахионы. Частицы, движущиеся со скоростями больше скорости света», УФН, 114 (1) 133 (1974)
- Барбашов Б.М., Нестеренко В.В. «Суперструны - новый подход к единой теории фундаментальных взаимодействий», УФН 150 (4) 489 (1986)
- Биланюк О., Сударшан Е., Частицы за световым барьером (Перевод Урнова А.М.). В книге «Эйнштейновский сборник. 1973», М., Наука, 1974, стр. 112-133.
- Вейник А.И., «Теория движения», Мн.: «Наука и техника», 1969. 448 с., URL:
http://move-m.nxt.ru/Process/Articles/1969teordv.htm (дата обращения 06.02.2012)
http://www.veinik.ru/veinik/articles/9a/269/attach.zip (дата обращения 16.02.2013) - Киржниц Д.А., Сазонов В.Н., Сверхсветовые движения и специальная теория относительности (вводная статья). В книге «Эйнштейновский сборник. 1973», М., Наука, 1974, стр. 84-111.
- Малыкин Г.Б, Савчук В.С., Романец (Щербак) Е.А. «Лев Яковлевич Штрум и гипотеза существования тахионов», УФН 182 (11) 1217 (2012)
- Манида С.Н., Преобразования Лоренца. Глава 2 - Вывод преобразований Лоренца из принципа относительности //Лекции для школьников. Библиотека Физического факультета СПбГУ, URL: http://www.phys.spbu.ru/library/schoollectures/manida-lor/chapter2 (дата обращения 18.11.2011)
- Путенихин П.В., Быстрее света - квантино, 2012, URL:
http://econf.rae.ru/article/6630 (дата обращения 16.02.2013)
http://samlib.ru/editors/p/putenihin_p_w/light.shtml (дата обращения 16.02.2013) - Путенихин П.В., Великая тайна специальной теории относительности, 2010, URL:
http://econf.rae.ru/article/6358 (дата обращения 16.02.2013)
http://samlib.ru/editors/p/putenihin_p_w/tajna.shtml (дата обращения 16.02.2013) - Путенихин П.В., Как распутать квантовую запутанность, 2011,
http://econf.rae.ru/article/6327 (дата обращения 16.02.2013)
http://samlib.ru/editors/p/putenihin_p_w/entang.shtml (дата обращения 16.02.2013) - Путенихин П.В., Квантовая механика против СТО, 2007,
http://econf.rae.ru/article/6362 (дата обращения 16.02.2013)
http://samlib.ru/editors/p/putenihin_p_w/kmvsto.shtml (дата обращения 16.02.2013) - Путенихин П.В., Причина СТО - инвариантность скорости света, 2011, URL:
http://econf.rae.ru/article/6379 (дата обращения 16.02.2013)
http://samlib.ru/editors/p/putenihin_p_w/prichina.shtml (дата обращения 03.02.2013) - Путенихин П.В., Противоречие между квантовой механикой и СТО, 2010,
http://econf.rae.ru/article/6360 (дата обращения 16.02.2013)
http://samlib.ru/editors/p/putenihin_p_w/protiv.shtml (дата обращения 16.02.2013) - Путенихин П.В., Три ошибки анти-СТО, SciTecLibrary, 2011,
http://econf.rae.ru/article/6342 (дата обращения 16.02.2013)
http://samlib.ru/p/putenihin_p_w/antisto.shtml (дата обращения 03.02.2013) - Степанов С.С., Релятивистский мир, URL: http://synset.com/ru/Преобразования_Лоренца (дата обращения 16.02.2013)
- Терлецкий Я. П. Парадоксы теории относительности. — М.: Наука, 1966.
- Фейнберг Дж., О возможности существования частиц, движущихся быстрее света (Перевод Волкова Е.И.). В книге «Эйнштейновский сборник. 1973», М., Наука, 1974, стр. 134-177.
- Форум «СОЦИНТЕГРУМ», Логические основания теории относительности, URL: http://www.socintegrum.ru/forum/viewtopic.php?f=17&t=575 (дата обращения 16.02.2013)
- Чонка П.Л., Причинность и сверхсветовые частицы (Перевод Волкова Е.И.). В книге «Эйнштейновский сборник. 1973», М., Наука, 1974, стр. 178-189.
Адрес статьи в интернете (дата обращения 07.03.2013):
Путенихин П.В., Сверхсветовая связь: тахион и причинность, 2013, URL:
http://samlib.ru/editors/p/putenihin_p_w/causal.shtml
http://econf.rae.ru/article/7474
http://www.scorcher.ru/theory_publisher/autor_list.php?id=3519
04.01 – 11.02.2013
Superluminal communication: the tachyon and causality
Putenikhin P.V.
mailto: m55@mail.ru
Abstract
Superluminal communication and move is incompatible with the special theory of relativity. Introduction to the theory of relativity superluminal particles - tachyons (quantino) allows movement in the past, leads to disruption of causality denies Lorentz invariance and invariance of the speed of light - the second postulate of special relativity.
The article describes a few thought experiments. Moving of superluminal particles into the past and violation of causality - this phenomenon, inherent only the special relativity. In reality no the movement to the past and there is no violation of causality. Reinterpretation principle does not solve the problem of violation of causality in the special relativity. Non-locality allows synchronize the clock and it shows that in the presence of superluminal communication in all inertial frames the clock runs at the same rate. Predictions of special relativity in regarding to tachyon are wrong, absurd and rejects the invariance of the speed of light. Invariant


